热门关键词:
您的位置: 首页>>新闻中心>>公司新闻

新闻中心

咨询热线

15161998097

垃圾渗滤液处理技术探讨

作者:admin时间:2021-06-12 05:42:331370次浏览

信息摘要:

选择用户体验好的关键词 所谓关键词对用户友爱指的就是:比如用户在搜索一个关键词的时候,这个关键词还不能完全满足用户的需求,因为,用户搜索的这个关键词的时候,这个关键...

垃圾渗滤液处理技术探讨

1、垃圾渗滤液是怎么来的?
躺在垃圾焚烧厂和填埋场的垃圾
会通过自身氧化发酵产生各种毒素
比如,很多的金属
很多很多的BOD5和COD
很多很多很多的氨氮
······
然后再以水为载体将这些毒素扩散到
人类赖以生存的水源和土地里
作为载体的水通常有4种来源
①垃圾本身就有的水
②垃圾发生生化反应产生的水
③地下潜水的反渗
④大气降水(占大部分)
经过岁月的变迁
垃圾产生的毒素越来越多
渗滤液毒性不断增强(水质恶化)
这对地下水来说是一个巨大的威胁
渗滤液由于成分复杂且毒性强
也就成了污废水领域最难处理
成本最高的种类
2、垃圾渗滤液有啥特点
无论是垃圾填埋场还是垃圾焚烧厂
渗滤液的特点是↓
水量水质受季节
气候等因素的影响大
成分复杂
污染物浓度高
(BOD、COD、氨氮、金属离子)
可生化性差
时间在5年以下的渗滤液
pH值较低
BOD5和COD浓度较高
各类金属离子的浓度也较高
但可生化性尚好
时间在5年以上的渗滤液
pH值高
BOD5和COD浓度有所下降
可生化性差
氨氮含量很高
金属离子的浓度下降
 
3、垃圾渗滤液处理工艺
“预处理+生化+深度处理”
是目前的主流工艺
预处理↓
解决氨氮、无机物
提高垃圾渗滤液可生化性
为生化处理打下基础
生化处理↓
去除溶解性有机物、氨氮
深度处理↓
进一步去除难降解有机物
悬浮物、氨氮等
在整个渗滤液处理系统中
生化处理部分是核心工艺
出水能不能达标排放就看
生化部分的设计是不是够合理
生化处理普遍采用MBR工艺
垃圾渗滤液MBR处理系统的设计要点有6个
①MBR系统的设计计算
应该采用COD进行计算
因为垃圾渗滤液的COD浓度
远远高于BOD浓度
二者的比值COD/BOD>2.2
以COD计算才更符合实际情况
②生化处理系统路线设计
考虑到检修维护的同时还要保证系统的连续稳定运行
根据工程规模的大小
可以采取不同的路线设计
Q≤200m³/d时
采用一条线;
Q<400m³ d时<="" span="">
优先采用二条线;
Q≥400m³/d时
采用二条线
③依据排放标准来设计脱氮系统
若进水氨氮浓度较低
或渗滤液处理出水对总氮无要求时
采用单级生物脱氮
若进水氨氮浓度较高
或出水对总氮有严格要求时
采用二级生物脱氮
④MBR系统的主要设计参数
设计参数要选择合理
水温、泥龄、污泥浓度
剩余污泥产率及单位耗氧量等
混合液回流比对氮的去除率很重要
根据实际程设计经验
很多出水总氮超标都是
由于混合液回流比设计问题
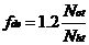
反硝化率和回流比之间的关系↓

 
 
 
反硝化率fde计算↓

需硝化的氨氮量↓

反硝化的硝酸盐量计算↓

需反硝化的硝态氮浓度NO计算↓
⑤外加碳源的选择和投加位置
外加碳源的选择和投加位置
关系到系统的处理效果和成本
投加位置要根据碳源缺乏程度而定
渗滤液原液碳源极度缺失的情况下
在缺氧池和后置反硝化池都投加外部碳源碳
碳源不是很缺乏时
宜在后置反硝化池内投加外部碳源
可以节省投加量降低运行成本
还要注意的是
投加的外部碳源中不要有氮
4、垃圾渗滤液处理产生的问题
 
第一,产生浓缩液↓
垃圾渗滤液处理后
会产生浓缩液
浓缩液怎么处理呢

① 回灌填埋场
这种做法不可取
理由是垃圾堆体既不能有效降解有机物
又会对后续渗滤液处理造成影响
②蒸发处理
可选择适当的蒸发形式
对浓缩液进行处理但是蒸发处理后
含较高浓度氨氮的清液
不能采用离子交换的方法处理
第二,处理成本高↓
根据目前国内部分项目的实际情况
一般每吨处理费用在150元~200元
返回列表 本文标签: